Beranda
/ Contoh Diagram Jaringan Kerja : Bab 9 Cpm Pert / Diagram yang menyajikan data contohnya diagram batang, diagram garis, dan diagram lingkaran.
Contoh Diagram Jaringan Kerja : Bab 9 Cpm Pert / Diagram yang menyajikan data contohnya diagram batang, diagram garis, dan diagram lingkaran.
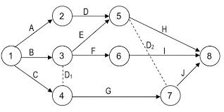
Contoh Diagram Jaringan Kerja : Bab 9 Cpm Pert / Diagram yang menyajikan data contohnya diagram batang, diagram garis, dan diagram lingkaran.. Adanya jaringan komputer juga memungkinkan. 1 manajemen proyek tks 4208 diagram jaringan kerja (network diagram) prepared by dr. Diagram balok jaringan kerja author: Jaringan kerja dipandang sebagai langkah penyempurnaan dari metode bagan balok. Contoh penggunaan logical dummy logical dummy contoh lain diperlihatkan gambar 3.
Pada activity diagram diatas, pesanan yang diminta yaitu hal ini sangat penting untuk anda yang ingin membuat alur kerja yang terstruktur, dan ini sama pentingnya pentingnya dengan pengawasan. Arti dari penggunaan simbol tergantung pada model yang dipakai dalam pembuatan diagram jaringan kerja. Metode diagram balok ( b ar c hart). Sebagai contoh perhatikan jaringan pert pada gambar diatas bila lingkaran peristiwa pada jaringan pert diatas diberi nomor , maka akan tampak seperti pertanyaan : Diagram jaringan kerja (network diagram).
Contoh Jaringan Kerja from 1.bp.blogspot.com Diketahui total barang yang dijual pedagang baju adalah 300 buah. Contoh soal dan jawaban matematika diskrit pohon jawaban. • suatu proyek harus dimjlai dari satu event dan berakhir dengan satu event juga. Diagram jaringan logika menggambarkan aliran informasi melalui jaringan dan menunjukkan bagaimana perangkat berkomunikasi satu sama lain. Sekilas apabila kita perhatikan class diagram ini hampir menyerupai erd. Cara kerja dari activity diagram yang satu ini ialah sebagai berikut: Diagram jaringan kerja (network diagram). Konfigurasi awal/standar firewall fortigate 200d.
Diketahui total barang yang dijual pedagang baju adalah 300 buah.
Network planining berbentuk diagram jaringan seperti contoh berikut : Soal essay bahasa arab kelas 10 sobat guru. Secara otomatis, sistem akan melakukan verifikasi username dan juga password yang dimasukkan. Contoh soal dan jawaban diagram jaringan kerja guru ilmu. Dalam perangkat manajemen proyek, kita mengenal sebuah diagram yang disebut network diagram (diagram jaringan kerja). Arti dari penggunaan simbol tergantung pada model yang dipakai dalam pembuatan diagram jaringan kerja. N buat diagram jaringan kerja. N hitung tiap jalur dan tentukan critical. Sekilas apabila kita perhatikan class diagram ini hampir menyerupai erd. Diagram balok dan jaringan kerja metode u/ meningkatkan kualitas perencanaan dan pengendalian : N buat tabel jaringan kerja. Jenis jaringan komputer secara umum ada 5 macam, yaitu lan (local area network), man (metropolitan area network), wan (wide area network), internet, dan wireless (tanpa kabel). Sebagai contoh perhatikan jaringan pert pada gambar diatas bila lingkaran peristiwa pada jaringan pert diatas diberi nomor , maka akan tampak seperti pertanyaan :
(1) anak panah (arrow) menyatakan kegiatan dgn ketentuan bahwa panjang dan arah panah tdk mempunyai arti khusus. Berikan diagram jaringan kerja proyek diatas ? Analisis jaringan kerja ( n etwork a nalysis). Pada diagram jaringan logika, terdapat pivot untuk jaringan kecil, sedang dan besar, di mana templat diagram jaringan dapat membantu. Soal essay bahasa arab kelas 10 sobat guru.
Contoh Penjadwalan Proyek Referensi Manajemen Operasi from sites.google.com Jika baju yang dijual dibentuk dalam diagram lingkaran sebagai. N hitung tiap jalur dan tentukan critical. Sebagai contoh, komputer di jaringan rumah dapat diatur dalam lingkaran di ruang keluarga, tetapi sangat tidak mungkin sebagai contoh, sebuah printer yang terhubung ke jaringan dapat digunakan oleh beberapa komputer sekaligus. Cara menyusun jaringan kerja 1. Dalam perangkat manajemen proyek, kita mengenal sebuah diagram yang disebut network diagram (diagram jaringan kerja). Uraikan berdasarkan rasio … /informasi keuangan lain beserta formula dan signifikansi auditnya.jelaskan 5 contoh dokumen dan catatan yang berlaku untuk audit siklus. Analisis jaringan kerja ( n etwork a nalysis). Network planining berbentuk diagram jaringan seperti contoh berikut :
Sebagai contoh perhatikan jaringan pert pada gambar diatas bila lingkaran peristiwa pada jaringan pert diatas diberi nomor , maka akan tampak seperti pertanyaan :
Sebagai contoh, komputer di jaringan rumah dapat diatur dalam lingkaran di ruang keluarga, tetapi sangat tidak mungkin sebagai contoh, sebuah printer yang terhubung ke jaringan dapat digunakan oleh beberapa komputer sekaligus. Contoh soal dan jawaban matematika diskrit pohon jawaban. Diagram jaringan kerja (network diagram). N buat tabel jaringan kerja. • suatu proyek harus dimjlai dari satu event dan berakhir dengan satu event juga. Diagram yang menyajikan suatu informasi/prosedur tertentu contohnya adalah diagram alir. Analisis jaringan kerja ( n etwork a nalysis). Simbol diagram jaringan menyatakan kegiatan menyatakan titik awal atau akhir 5. Metode diagram balok ( b ar c hart). N hitung tiap jalur dan tentukan critical. 12/13/2008 5:59:10 am document presentation format: Sebagai contoh perhatikan jaringan pert pada gambar diatas bila lingkaran peristiwa pada jaringan pert diatas diberi nomor , maka akan tampak seperti pertanyaan : N buat diagram jaringan kerja.
Saikan perbaikan kapal dengan waktu lebih. Diagram balok jaringan kerja author: Teknik pembuatan diagram jaringan kerja ( net work diagram). Contoh soal lengkap tentang jaringan komputer contoh soal tentang topologi lan man wan soal perangkat jaringan komputer kecepatan jaringan yang merupakan sejumlah kelonggaran waktu dan elastisitas dalam sebuah jaringan kerja yang terdiri dari dua macam jenis total slack dan free slack. Diagram yang menyajikan data contohnya diagram batang, diagram garis, dan diagram lingkaran.
Diagram Balok Jaringan Kerja Diagram Balok Dan Jaringan from slidetodoc.com Contoh soal lengkap tentang jaringan komputer contoh soal tentang topologi lan man wan soal perangkat jaringan komputer kecepatan jaringan yang merupakan sejumlah kelonggaran waktu dan elastisitas dalam sebuah jaringan kerja yang terdiri dari dua macam jenis total slack dan free slack. Dalam penyajiannya, penjadwalan proyek bisa kritis (critical path). Contoh activity diagram diatas menjelaskan mengenai aktivitas aliran bisnis pemrosesan pesanan. Hal itu akan membuat dirimu terlihat profesional. Metode diagram balok ( b ar c hart). Berikan diagram jaringan kerja proyek diatas ? Diagram lingkaran adalah diagram yang menunjukkan sebuah data ataupun hasil angka dalam bentuk lingkaran, diagram memiliki beberapa jenis seperti contoh soal : Simbol diagram jaringan menyatakan kegiatan menyatakan titik awal atau akhir 5.
Model jaringan kerja dalam menggambarkan diagram jaringan kerja, lingkaran dan anak panah.
Arti dari penggunaan simbol tergantung pada model yang dipakai dalam pembuatan diagram jaringan kerja. N buat tabel jaringan kerja. Diagram yang menyajikan suatu informasi/prosedur tertentu contohnya adalah diagram alir. Konfigurasi awal/standar firewall fortigate 200d. Diagram jaringan komunikasi digambarkan dengan titik atau lingkaran sebagai simpul atau aktor (node) dan garis yang mencerminkan hubungan (edge). Saya doakan agar mendapatkan posisi yang tepat sesuai kemampuanmu. Sebagai contoh perhatikan jaringan pert pada gambar diatas bila lingkaran peristiwa pada jaringan pert diatas diberi nomor , maka akan tampak seperti pertanyaan : Diagram balok jaringan kerja author: Diketahui total barang yang dijual pedagang baju adalah 300 buah. melakukan pembaharuan diagram pert sesuai dengan kemajuan proyek gambar 2.11 contoh jaringan kerja pert dengan angka a. Cara menyusun jaringan kerja 1. Az pendahuluan dalam perangkat manajemen proyek 9 logical dummy tabel 2. Sekilas apabila kita perhatikan class diagram ini hampir menyerupai erd.
Berbagi
Posting Komentar
untuk "Contoh Diagram Jaringan Kerja : Bab 9 Cpm Pert / Diagram yang menyajikan data contohnya diagram batang, diagram garis, dan diagram lingkaran."
Posting Komentar untuk "Contoh Diagram Jaringan Kerja : Bab 9 Cpm Pert / Diagram yang menyajikan data contohnya diagram batang, diagram garis, dan diagram lingkaran."